| Herramientas en GNU/Linux para estudiantes universitarios: | ||
|---|---|---|
| Anterior | Capítulo 2. Conceptos Básicos sobre RNA | Siguiente |
La unidad básica de una RNA es la neurona. Aunque hay varios tipos de neuronas diferentes, la mas comun es la de tipo McCulloch-Pitts. En la siguiente figura puede verse una representación de la misma
Una neurona artificial es un procesador elemental, en el sentido de que procesa un vector x (x1,x2,...xN) de entradas y produce un respuesta o salida única. Los elementos clave de una neurona artificial los podemos ver en la figura anterior y son los siguientes:
Las entradas que reciben los datos de otras neuronas. En una neurona biológica corresponderían a las dendritas
Los pesos sinapticos wij. Al igual que en una neurona biológica se establecen sinápsis entre las dendritas de una neurona y el axón de otra, en una neurona artificial a las entradas que vienen de otras neuronas se les asigna un peso, un factor de importancia. Este peso, que es un número, se modifica durante el entrenamiento de la red neuronal, y es aquí por tanto donde se almacena la infomación que hara que la red sirva para un propósito u otro.
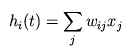
Una regla de propagación. Con esas entradas y los pesos sinapticos, se suele hacer algun tipo de operación para obtener el valor del potencial postsinaptico (valor que es funcion de las entradas y los pesos y que es el que se utiliza en último término para realizar el procesamiento). Una de las operaciones mas comunes es sumar las entradas, pero teniendo en cuenta la importancia de cada una (el peso sináptico asociado a cada entrada). Es lo que se llama suma ponderada, aunque otras operaciones también son posibles.
La otra regla de propagacion mas habitual es la distancia euclidea. Este es el tipo de regla que tienen redes como el SOM o las RBF.Una función de activación. El valor obtenido con la regla de propagación, se filtra a través de una función conocida como función de activación y es la que nos da la salida de la neurona. Según para lo que se desee entrenar la red neuronal, se suele escoger una función de activación u otra en ciertas neuronas de la red. En la siguiente tabla se muestran las funciones de activación mas usuales
En muchas ocasiones la razón para la aplicación de una función de activación distinta de la identidad surge de la necesidad de que las neuronas produzcan una salida acotada. Esto desde un punto de vista de similitud con el sistema biológico, no es tan descabellado, ya que las respuestas de las neuronas biológicas estan acotadas en amplitud. Además cada neurona tiene asociado un número denominado bías o umbral, que puede verse como un número que indica a partir de que valor del potencial postsináptico la neurona produce una salida significativa.