
{ggflowchart} is an R package for producing flowcharts using {ggplot2}.
Install the package from CRAN using:
install.packages("ggflowchart")or install the development version from GitHub:
remotes::install_github("nrennie/ggflowchart")The idea of {ggflowchart} is to create simple flowcharts with minimal
effort. Currently, all flowcharts are constructed using the
ggflowchart() function. For the most basic flowchart, it
takes as input a data frame containing (at least) two columns for the
start and end points of the edges in the flowchart.
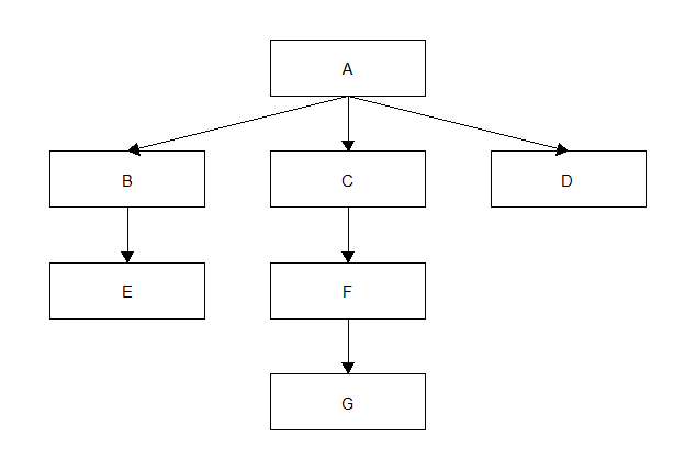
data <- tibble::tibble(from = c("A", "A", "A", "B", "C", "F"),
to = c("B", "C", "D", "E", "F", "G"))The flowchart is then created using ggflowchart().
ggflowchart(data)
See vignettes for further examples of usage.
Note: this package is currently a work-in-progress. Upcoming features that are currently listed as issues being worked on include:
colour based on node
attributes.linetype and colour of arrows
based on edge attributes.If you have a suggestion of an additional feature, or find a bug, please file an issue on the GitHub repository.