Los tres elementos principales a proteger en cualquier sistema informático son
el software, el hardware y los datos. Por hardware entendemos
el conjunto formado por todos los elementos físicos de un sistema
informático, como CPUs, terminales, cableado, medios de almacenamiento
secundario (cintas, CD-ROMs, diskettes...) o tarjetas de red. Por software entendemos el conjunto de programas lógicos que hacen funcional al
hardware, tanto sistemas operativos como aplicaciones, y por datos
el conjunto de información lógica que manejan el software y el hardware, como por ejemplo paquetes que circulan por un cable de red o entradas
de una base de datos. Aunque generalmente en las auditorías de seguridad
se habla de un cuarto elemento a proteger, los fungibles (elementos que
se gastan o desgastan con el uso contínuo, como papel de impresora, tóners, cintas magnéticas, diskettes...), aquí no
consideraremos la seguridad de estos elementos por ser externos al sistema
Unix.
Habitualmente los datos constituyen el principal elemento de los tres a
proteger, ya que es el más amenazado y seguramente el más difícil de
recuperar2.3:
con toda seguridad una máquina Unix está ubicada en un lugar de
acceso físico restringido, o al menos controlado, y además en caso de
pérdida de una aplicación (o un programa de sistema, o el propio núcleo
de Unix) este software se puede restaurar sin problemas desde su medio
original (por ejemplo, el CD-ROM con el sistema operativo que se utilizó para
su instalación). Sin embargo, en caso de pérdida de una base de datos o de
un proyecto de un usuario, no tenemos un medio `original' desde el que
restaurar: hemos de pasar obligatoriamente por un sistema de copias de
seguridad, y a menos que la política de copias sea muy estricta, es
difícil devolver los datos al estado en que se encontraban antes de la
pérdida.
Contra cualquiera de los tres elementos descritos anteriormente (pero
principalmente sobre los datos) se pueden realizar multitud de ataques o, dicho
de otra forma, están expuestos a diferentes amenazas. Generalmente, la
taxonomía más elemental de estas amenazas las divide en cuatro grandes
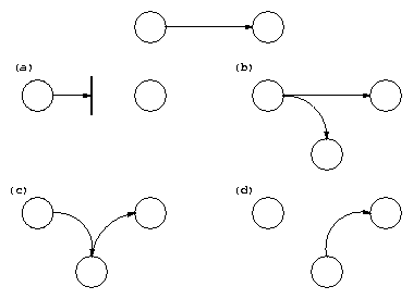
grupos: interrupción, interceptación, modificación y fabricación.
Un ataque se clasifica como interrupción si hace que un objeto del
sistema se pierda, quede inutilizable o no disponible. Se tratará de una
interceptación si un elemento no autorizado consigue un acceso a un
determinado objeto del sistema, y de una modificación si además de
conseguir el acceso consigue modificar el objeto; algunos autores
([Olo92]) consideran un caso especial de la modificación: la destrucción, entendiéndola como una modificación que inutiliza al
objeto afectado. Por último, se dice que un ataque es una fabricación
si se trata de una modificación destinada a conseguir un objeto similar al
atacado de forma que sea difícil distinguir entre el objeto original y
el `fabricado'. En la figura 1.1 se muestran estos tipos de ataque
de una forma gráfica.
Figura:
Flujo normal de información entre emisor y receptor y posibles
amenazas: (a) interrupción, (b) interceptación, (c) modificación y (d)
fabricación.
|
© 2002 Antonio Villalón Huerta